Készítette: Vámosiné dr. Varga Adrienn
Környezetünk nem állandó, hanem szereplői mozognak, tulajdonságaik időben változnak. Az eredményesebb megértés érdekében érdemes mozgó objektumok helyzetét az idő változása függvényében, animáció segítségével szemléltetni. A műszaki pályát választók matematika tanulmányaik során megismerkednek a síkgörbék, térgörbék elméletével, alapvető fogalmaival.
Egy irányított görbén csúszásmentesen legördülő kör egy meghatározott pontjának pályáját általános cikloisnak nevezzük. A fix görbét alapgörbének, a csúszásmentesen gördülőt pedig generáló görbének - leggyakrabban generálókörnek - nevezzük.
Gördülés egyenesen
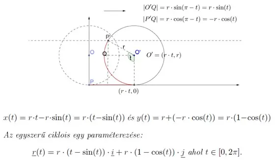
Ha a fix görbe egyenes, egyszerű cikloisról beszélünk. Egy csúszásmentesen gördülő kerék egy pontjának - mint egy körvonal P pontjának - pályáját adjuk meg.

A kerék belső illetve külső pontjainak pályáit rendre hurkolt illetve nyújtott cikloisok. A belső, kerületi illetve külső pontok pályájának tanulmányozásához az elkészült animációban beviteli mező segítségével lehet változtatni a belső és külső pontoknak az adott kerületi ponttól mért távolságát (dbelső és dkülső).
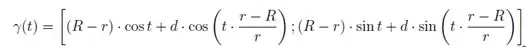
Azt a cikloist, amelyet egy körön belül csúszásmentesen gördülő kör egy kerületi pontja ír le (csúcsos) hipocikloisnak nevezzük. A generálókör egy külső pontja által származtatott hipocikloist hurkoltnak, egy belső pont által generáltat pedig nyújtott hipocikloisnak.
Egy R sugarú alapkörön gördülő r sugarú generálókör középpontjától d távolságra lévő pont által leírt hipociklois paraméteres egyenlete:
![]()
A következő animációban tanulmányozni lehet a hipocikloisok sokszínűségét azáltal, hogy változtathatjuk az alapkör és a gördülő kör sugarait (R,r). A harmadik beviteli mező segítségével tanulmányozni lehet a gördülő kör külső és belső pontjainak pályáját (d).
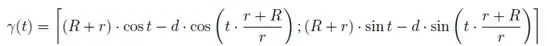
Azt a cikloist, amelyet egy körön kívül csúszásmentesen gördülő kör egy kerületi pontja ír le epicikloisnak nevezzük.
Egy R sugarú alapkörön gördülő r sugarú generálókör középpontjától d távolságra lévő pont által leírt epiciklois paraméteres egyenlete:
![]()
Gyakorlati példák
A negyedik animáció bemutatja a forgó fúvóka működési elveit, amelyet rotációs ventilátornak, rotációs kompresszornak, forgó dugattyús szivattyúnak, rotációs dugattyús szivattyúnak vagy kapszula szivattyúnak is neveznek. A forgódugattyús szivattyúk folyadékszállítók alkatrészeit képzik. Forgódugattyús gépeket főleg szennyvizek, lúgos kémhatású anyagok szállítására alkalmaznak. Működési elve azon alapszik, hogy két, egymással kényszerkapcsolatban álló, különleges profilú forgó elem térfogatváltoztatást eredményez.
Az animáció először kiszerkeszti a szivattyú lapátjait. Itt a gördülő- és az alapkör sugarának aránya 1:4. A lapátokat epi-és hipociklois ívek alkotják.
Az animáció utolsó szakaszában egy szivattyúházban két párhuzamos tengelyen forgó lapát látható.
Az ötödik animáció gördülő fogaskerekeket mutat be.
Az animáció először kiszerkeszt egy fogat a fogaskerékből epi-és hipociklois ívek segítségével.

Az animációkat készítette: Vámosiné dr. Varga Adrienn
Az animációk elkészítését az EFOP-3.4.4-16-2017-00023 számú projekt támogatta.
A projekt az Európai Unió támogatásával,
az Európai Szociális Alap társfinanszírozásával valósult meg.